• ДОПОЛНЕНИЕ 1. ЭФФЕКТ ДОПЛЕРА
  • ДОПОЛНЕНИЕ 2. КРИТИЧЕСКАЯ ПЛОТНОСТЬ
  • ДОПОЛНЕНИЕ 3. МАСШТАБЫ ВРЕМЕНИ РАСШИРЕНИЯ
  • ДОПОЛНЕНИЕ 4. ИЗЛУЧЕНИЕ ЧЕРНОГО ТЕЛА
  • ДОПОЛНЕНИЕ 5. МАССА ДЖИНСА
  • ДОПОЛНЕНИЕ 6. ПЛОТНОСТЬ И ТЕМПЕРАТУРА НЕЙТРИНО
  • МАТЕМАТИЧЕСКОЕ ДОПОЛНЕНИЕ

    Эти замечания предназначены для тех читателей, которые хотят познакомиться с кое-какой математикой, на которой базируется нематематическое изложение в основной части этой книги. Для того чтобы уследить за ходом обсуждений в большей части книги, совершенно не обязательно изучать эти замечания.

    ДОПОЛНЕНИЕ 1. ЭФФЕКТ ДОПЛЕРА

    Предположим, что гребни волн покидают световой источник в регулярные моменты времени, разделенные периодом Т. Если источник движется от наблюдателя со скоростью v, тогда за время между испусканием двух последовательных гребней источник проходит расстояние vT. Это увеличивает время, необходимое на то, чтобы гребень волны дошел от источника до наблюдателя, на величину vT/c, где с — скорость света. Отсюда время, прошедшее между появлением двух последовательных волновых гребней в точке наблюдения, равно

    длина волны света после испускания[57]

    длина волны света в момент приема

    Поэтому отношение этих длин волн

    Эти же аргументы применимы и тогда, когда источник приближается к наблюдателю, с той разницей, что v заменяется на — v. (Подобные рассуждения применимы не только к световым волнам, но и к любому типу волнового сигнала.)

    Например, галактики в скоплении Девы движутся от нашей Галактики со скоростью примерно 1000 км/с. Скорость света равна 300 000 км/с. Поэтому длина волны любой спектральной линии от скопления в Деве больше своего нормального значения λ в отношении


    ДОПОЛНЕНИЕ 2. КРИТИЧЕСКАЯ ПЛОТНОСТЬ

    Рассмотрим сферу радиуса R, внутри которой содержатся галактики. (Для целей данного вычисления мы должны выбрать R больше, чем расстояние между скоплениями галактик, но меньше любого расстояния, характеризующего Вселенную в целом.) Масса такой сферы равна ее объему, умноженному на космическую плотность массы ρ:

    Из ньютоновой теории тяготения следует, что потенциальная энергия любой типичной галактики на поверхности этой сферы

    где m — масса галактики; G — ньютонова постоянная тяготения, G = 6,67 × 10-8 см3/(г·с2). Скорость этой галактики определяется законом Хаббла в виде

    где Н — постоянная Хаббла. Следовательно, кинетическая энергия галактики равна

    Полная энергия галактики есть сумма кинетической и потенциальной энергий:

    Эта величина должна оставаться постоянной в процессе расширения Вселенной.

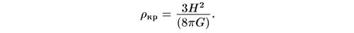
    Если полная энергия Е отрицательна, галактика никогда не может удалиться в бесконечность, так как на очень больших расстояниях потенциальная энергия становится пренебрежимо малой, и в этом случае полная энергия просто равна кинетической энергии, которая всегда положительна. Если же полная энергия Е положительна, галактика может достичь бесконечности, имея остаточную кинетическую энергию. Таким образом, условие того, что галактика имеет скорость, как раз равную скорости отрыва, заключается в том, что Е обращается в нуль, что дает

    Другими словами, плотность должна иметь значение

    Это и есть критическая плотность. (Хотя этот результат получен здесь с использованием принципов ньютоновой физики, он на самом деле справедлив даже тогда, когда содержимое Вселенной является ультрарелятивистским, если только иметь в виду, что ρ интерпретируется как полная плотность энергии, деленная на с2.)

    Например, если Н равна популярному в настоящее время значению 15 км/с на миллион световых лет, то, вспоминая, что световой год соответствует 9,46 × 1012 километров, мы получаем

    В одном грамме содержится 6,02 × 1023 ядерных частиц; такое значение теперешней критической плотности соответствует примерно 2,7 × 10-6 ядерных частиц в 1 см3, или 0,0027 частицы в одном литре.

    ДОПОЛНЕНИЕ 3. МАСШТАБЫ ВРЕМЕНИ РАСШИРЕНИЯ

    Рассмотрим теперь, как меняются параметры Вселенной с течением времени. Предположим, что в момент времени t типичная галактика массы m находится на расстоянии R(t) от некоторой произвольно выбранной центральной галактики, например нашей собственной. Мы видели в предыдущем математическом дополнении, что полная (кинетическая плюс потенциальная) энергия этой галактики равна

    где H(t) и ρ(t) — значения постоянной Хаббла и космической плотности массы в момент времени t. Энергия должна быть всегда постоянной. Однако мы увидим ниже, что при R(t) → 0 ρ(t) увеличивается, по меньшей мере, как 1/R3(t), так что ρ(t)R2(t) растет как 1/R(t) при R(t), стремящемся к нулю. Чтобы сохранить энергию Е постоянной, два члена в скобках должны почти сокращаться, так что при R(t) → 0 мы имеем

    Характерное время расширения — просто обратная величина постоянной Хаббла, т. е.

    Например, в момент времени первого кадра (см. гл. V) плотность массы равнялась 3,8 тысячи миллионов грамм на кубический сантиметр. Отсюда, время расширения равнялось тогда

    Далее, как меняется ρ(t) с изменением R(t)? Если плотность массы определяется массами ядерных частиц (эра преобладания вещества), тогда полная масса внутри сопутствующей сферы радиуса R(t) просто пропорциональна массе ядерных частиц внутри этой сферы и, следовательно, должна оставаться постоянной:

    Отсюда ρ(t) обратно пропорциональна R3(t):

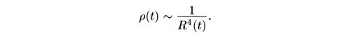
    (знак ~ означает «пропорционально».) В то же время если плотность массы определяется массой, эквивалентной энергии излучения (эра преобладания излучения), тогда ρ(t) пропорциональна четвертой степени температуры. Но температура меняется как 1/R(t), так что ρ(t) в этом случае обратно пропорциональна R4(t):

    Чтобы иметь возможность одновременно рассматривать эры преобладания вещества и излучения, мы запишем эти результаты в виде

    где

    Кстати, заметим, что при R(t) → 0 ρ(t) растет, по меньшей мере, так же быстро, как 1/R3(t), что и было указано выше.

    Постоянная Хаббла пропорциональна ρ1/2, и поэтому

    Но тогда скорость типичной галактики

    Элементарным результатом дифференциального исчисления является то, что если скорость пропорциональна какой-то степени расстояния, тогда промежуток времени, необходимый для того, чтобы попасть из одной точки в другую, пропорционален изменению отношения расстояния к скорости. Более точно, если ν пропорциональна R1-n/2, это соотношение имеет вид

    или

    Можно выразить H(t) через ρ(t), после чего получим

    Таким образом, независимо от величины n пройденное время пропорционально изменению квадратного корня из обратной величины плотности.

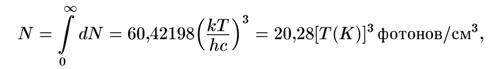
    Например, в течение всей эры преобладания излучения после аннигиляции электронов и позитронов плотность энергии равнялась

    (см. мат. доп. 6). Кроме того, в этом случае n = 4. Таким образом, время, необходимое, чтобы Вселенная охладилась от 100 миллионов градусов до 10 миллионов градусов, составляет

    Наш общий результат можно также выразить более просто, записав, что время, необходимое, чтобы плотность упала до значения ρ от некоторого значения, много большего, чем ρ, равно

    (Если ρ(t2) >> ρ(t1), мы можем пренебречь вторым членом в нашей формуле для t1 — t2) Например, при температуре 3000 К плотность массы фотонов и нейтрино равнялась

    ρ = 1,22 × 10-35 × 30004 г/см3 = 9,9 × 10-22 г/см3.

    Это настолько меньше, чем плотность при температуре 108 К (или 107 К, или 106 К), что время, требуемое на то, чтобы Вселенная охладилась от очень высоких температур на ранней стадии до 3000 К, можно рассчитать (полагая n = 4) просто как

    Мы показали, что время, необходимое, чтобы плотность Вселенной упала до значения ρ от значительно больших ранних значений, пропорционально 1/ρ1/2, в то время как плотность ρ пропорциональна 1/Rn. Поэтому время пропорционально Rn/2 или, другими словами,

    Это остается справедливым до тех пор, пока кинетическая и потенциальная энергии не уменьшатся настолько, что станут сравнимы с их суммой — полной энергией.

    Как отмечено в гл. II, в каждый момент времени t после начала имеется горизонт на расстоянии порядка ct, из-за которого никакая информация все еще не может нас достичь. Теперь мы видим, что при t → 0 R(t) уменьшается менее быстро, чем расстояние до горизонта, так что в достаточно ранние моменты времени любая данная «типичная» частица была за горизонтом.

    ДОПОЛНЕНИЕ 4. ИЗЛУЧЕНИЕ ЧЕРНОГО ТЕЛА

    Распределение Планка дает энергию du излучения черного тела в единице объема, приходящуюся на узкий интервал длин волн от λ до λ + dλ, в виде

    Здесь Т — температура; k = 1,38 × 10-16 эрг/К — постоянная Больцмана; с = 299 792 км/с — скорость света; е = 2,718… — числовая постоянная; h = 6,625 × 10-27 эрг·с — постоянная Планка, впервые введенная Максом Планком в качестве составной части этой формулы.

    Для больших длин волн знаменатель в распределении Планка можно приближенно записать в виде

    Следовательно, в этой области длин волн распределение Планка дает

    Это — формула Рэлея-Джинса. Если ее применить для произвольно малых длин волн, то du/dλ станет бесконечной при λ → 0 и полная плотность энергии излучения черного тела будет бесконечной.

    К счастью, du в формуле Планка достигает максимума при длине волны

    и затем плавно спадает с уменьшением длины волны. Полная плотность энергии излучения черного тела равна интегралу

    Подобные интегралы можно найти в стандартных таблицах определенных интегралов; в результате

    Это — закон Стефана-Больцмана.

    Мы можем легко интерпретировать распределение Планка в терминах квантов света или фотонов. Каждый фотон имеет энергию, определяемую формулой

    Отсюда, число фотонов dN в единице объема излучения черного тела, приходящееся на узкий интервал длин волн от λ до λ + dλ, равно

    Полное число фотонов в единице объема 1 см3 равно тогда

    а средняя энергия фотона:

    Рассмотрим теперь, что происходит с излучением черного тела в расширяющейся Вселенной. Предположим, что размер Вселенной изменился в f раз; например, если Вселенная удваивается в размере, то f = 2.

    Как мы видели в главе II, длины волн изменяются пропорционально размеру Вселенной и будут иметь новое значение

    После расширения плотность энергии du' в новом интервале длин волн от λ' до λ' + dλ' меньше первоначальной плотности энергии du в старом интервале длин воли от λ до λ + dλ по двум различным причинам.

    1. Так как объем Вселенной увеличился в f3 раз, то до тех пор, пока не рождалось и не уничтожалось никаких фотонов, их число в единице объема уменьшилось в f3 раз, т. е. изменилось на множитель 1/f3.

    2. Энергия каждого фотона обратно пропорциональна его длине волны и поэтому уменьшилась на множитель 1/f. Отсюда следует, что плотность энергии уменьшилась на общий множитель 1/f3, умноженный на 1/f, то есть на множитель 1/f4:

    Если мы теперь перепишем эту формулу, введя новую длину волны λ', то она примет вид

    Но это в точности та же формула, что и старая формула для du, выраженная через λ и , за исключением того, что Т заменяется новой температурой

    Следовательно, мы заключаем, что свободно расширяющееся излучение черного тела продолжает описываться формулой Планка, но с температурой, падающей обратно пропорционально масштабу расширения.

    ДОПОЛНЕНИЕ 5. МАССА ДЖИНСА

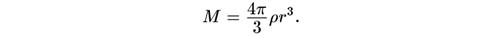
    Для того чтобы сгусток вещества образовал гравитационно связанную систему, необходимо, чтобы его гравитационная потенциальная энергия превысила внутреннюю тепловую энергию. Гравитационная потенциальная энергия сгустка радиуса r и массы M порядка

    Внутренняя энергия в единице объема пропорциональна давлению p, так что полная внутренняя энергия порядка

    Следовательно, гравитационное сжатие будет преобладать, если

    Но для заданной плотности р мы можем выразить r через М с помощью соотношения

    Условие гравитационного стягивания можно поэтому переписать в виде

    или, иными словами,

    где MD (с точностью до несущественного численного множителя) — величина, известная как масса Джинса:

    Например, как раз перед рекомбинацией водорода плотность массы равнялась 9,9 × 10-22 г/см3 (см. математическое допол-нение 3), а давление равнялось[58]:

    Поэтому масса Джинса была равна

    где MΘ — масса Солнца. (Для сравнения масса нашей Галактики равна примерно 1011МΘ.) После рекомбинации давление[59] упало в 109 раз, так что масса Джинса уменьшилась до

    Интересно, что это примерно равно массе больших шаровых скоплений внутри нашей Галактики.

    ДОПОЛНЕНИЕ 6. ПЛОТНОСТЬ И ТЕМПЕРАТУРА НЕЙТРИНО

    До тех пор, пока сохраняется тепловое равновесие, полное значение величины, называемой «энтропией», остается фиксированным. В достаточном для наших целей приближении энтропия S в единице объема при температуре Т дается формулой

    где NT — эффективное число разновидностей частиц, находящихся в тепловом равновесии, пороговая температура которых ниже Т. Для того чтобы удержать полную энтропию постоянной, S должна быть пропорциональна обратному кубу размера Вселенной. Это значит, что если R есть расстояние между любой парой типичных частиц, то

    Как раз перед аннигиляцией электронов и позитронов (при температуре около 5 × 109 К) нейтрино и антинейтрино уже вышли из теплового равновесия с остальным содержимым Вселенной, так что единственными частицами, имевшимися в больших количествах в равновесии, были электрон, позитрон и фотон. Мы видим, что согласно табл. 1 полное эффективное число разновидностей частиц перед аннигиляцией составляло[60]

    После аннигиляции электронов и позитронов в четвертом кадре единственными частицами, которые остались в равновесии в большом количестве, были фотоны. Эффективное число разновидностей частиц равнялось поэтому просто

    Из закона сохранения энтропии следует, что

    Это значит, что тепло, выделившееся при аннигиляции электронов и позитронов, увеличило величину TR на множитель

    Перед аннигиляцией электронов и позитронов температура нейтрино Tν была такой же, как и температура фотонов Т. Но после этого Т просто падала как 1/R, так что для всех последующих моментов времени произведение TνR равнялось значению TR перед аннигиляцией.

    Отсюда заключаем, что после окончания процесса аннигиляции температура фотонов оказалась выше температуры нейтрино в

    Нейтрино и антинейтрино, даже хотя они и не находятся в тепловом равновесии, дают важный вклад в космическую плотность энергии. Эффективное число разновидностей нейтрино и антинейтрино равно[61] 7/2, или 7/4 от эффективного числа разновидностей фотонов. (Имеются два спиновых состояния фотона.) В то же время четвертая степень температуры нейтрино меньше, чем четвертая степень температуры фотонов, на множитель (4/11)4/3. Следовательно, отношение плотности энергии нейтрино и антинейтрино к плотности энергии фотонов

    Закон Стефана-Больцмана (см. главу III) утверждает, что при температуре фотонов Т плотность энергии фотонов

    Следовательно, полная плотность энергии после электрон-позитронной аннигиляции равна

    Мы можем перевести это в эквивалентную плотность массы, разделив на квадрат скорости света, и найдем тогда



    Примечания:



    5

    Здесь и далее в аналогичных случаях автор употребляет английский глагол «соок», означающий «приготовлять пищу». Имеется в виду, конечно, процесс образования химических элементов в ранней Вселенной. — Прим. пер.



    6

    О возможности определения движения скопления галактик под прямым углом к лучу зрения см. дополнение редактора 5. — Прим. ред.



    57

    С точки зрения наблюдателя, движущегося с источником. — Прим. ред.



    58

    Здесь включено давление излучения. — Прим. ред.



    59

    Рассматривается только давление вещества. — Прим. ред.



    60

    Речь идет о находящихся в равновесии и взаимодействующих частицах е+, е- и γ. — Прим. ред.



    61

    Здесь учтены два сорта нейтрино νe и νμ и их античастицы. Вероятно, существует еще один сорт ντ и ν-τ. — Прим. ред.







     

    Главная | В избранное | Наш E-MAIL | Добавить материал | Нашёл ошибку | Наверх