|
||||
|
|
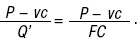
62. РАСЧЕТ ПОРОГА РЕНТАБЕЛЬНОСТИ ПРОДАЖ Предпринимательский риск оказаться в убытках при изменении ситуации на рынках сбыта и закупок характеризует операционный рычаг, или производственный леверидж, связанный с управлением объемами продаж, себестоимостью и прибылью. Производственный леверидж – это возможность влиять на балансовую прибыль путем изменения объема продаж и оптимизации структуры текущих затрат. Действие операционного рычага связано с различной природой и поведением текущих затрат на производство и реализацию продукции. В зависимости от изменения объема продаж различают переменные затраты и условно-постоянные, исследование которых составляет предмет анализа безубыточности. Аналитическим представлением модели безубыточности служит график безубыточности. График безубыточности Точка безубыточности Q' разделяет зону прибыли и зону убытков, в этой точке справедлива формула безубыточности (выручка = затраты): Р ? Q'= FC + vc ? Q', где P– цена товара; Q'– критический (безубыточный) объем продаж, порог рентабельности; Q– объем продаж; FC– общие условно-постоянные затраты (на весь объем продаж); vc– удельные переменные затраты (на единицу товара). Из этой формулы выводятся базовые параметры управления безубыточностью: 1) критическое значение цены реализации; 2) критическое значение постоянных и переменных затрат; 3) критический объем продаж, который представляет собой порог рентабельности. Порог рентабельности определяется как отношение постоянных затрат к удельному маржинальному доходу: ![]() На сумму удельного маржинального дохода увеличивается прибыль при росте объема продаж на единицу. Критический ОП – это количество товара, суммарный маржинальный доход от реализации которого покрывает условно-постоянные расходы. По каждому из перечисленных базовых параметров вычисляется маржа безопасности – процентное соотношение плановой и критической величины параметра. Для объема продаж этот показатель характеризует запас финансовой прочности предприятия. При изменении ситуации на рынке снижение ОПдо критического объема отражает риск потерпеть убытки. Чем больше запас финансовой прочности, тем меньше риск. Рискованность операционной деятельности характеризует также уровень или сила воздействия операционного рычага, который измеряется как отношение темпа прироста балансовой прибыли к темпу прироста объемов продаж. Уровень операционного рычага характеризует степень чувствительности прибыли к изменению объемов продаж. Эффект операционного рычага проявляется в опережающих темпах наращивания прибыли при росте объемов продаж за счет экономии на условно-постоянных расходах, в росте рентабельности. В силу неизбежности постоянных затрат прирост прибыли всегда опережает прирост объема продаж. При повышении спроса операционный рычаг действует положительно, а падение спроса вызывает негативное воздействие – прибыль снижается быстрее объемов продаж. Постоянные затраты можно рассматривать как основной источник риска: чем выше доля постоянных затрат в структуре себестоимости, тем более рискованна операционная деятельность предприятия. |
|
||
| Главная | В избранное | Наш E-MAIL | Добавить материал | Нашёл ошибку | Наверх | ||||
|
|
||||